
Golf MK4 1.6 Въпрос за окачване от GTI
-
kas10
- Мнения: 134
- Регистриран на: Чет 11 юли 2013 21:02
- Автомобил: GOLF 4 1.6
- Двигател:
- Местоположение: Sliven
Golf MK4 1.6 Въпрос за окачване от GTI
Попадна ми едно окачване от голф 4 ГТИ а моята кола е голф 4 1,6 101 коня 98г. Ще стане ли окачването? Благодаря предварително за отговорите 

-
marin_andonov
- Мнения: 312
- Регистриран на: Пон 09 мар 2009 18:48
- Автомобил: VW
- Двигател: TAIGO
- Местоположение: sofia
Re: Въпрос за окачване от GTI на 1.6 голф 4
Здравей колега,
Слагай смело!
Аз съм с такова, няма да си познаеш колата ако го смениш. Първата седмица (преди години) все едно бях в друга кола. Вече свикнах и не ми прави впечатление, "но ако трябва да се върна на старото от 1,6 ще си хвърля колата".
Гледай предните пружините да са от GTI с 4 жълти и една виолетова точка(намират се доста трудно), сваля отзад и отпред с около 1,5см. Ако сложиш от GTI с две розави и една синя точка ще ти вдигне предницата с около 1см. от стандартните на 1,6 а задните ще смъкнат. Задните и на двете разновидности предни са еднакви, две сини и две сиви точки.
Слагай смело!
Аз съм с такова, няма да си познаеш колата ако го смениш. Първата седмица (преди години) все едно бях в друга кола. Вече свикнах и не ми прави впечатление, "но ако трябва да се върна на старото от 1,6 ще си хвърля колата".
Гледай предните пружините да са от GTI с 4 жълти и една виолетова точка(намират се доста трудно), сваля отзад и отпред с около 1,5см. Ако сложиш от GTI с две розави и една синя точка ще ти вдигне предницата с около 1см. от стандартните на 1,6 а задните ще смъкнат. Задните и на двете разновидности предни са еднакви, две сини и две сиви точки.
-
kas10
- Мнения: 134
- Регистриран на: Чет 11 юли 2013 21:02
- Автомобил: GOLF 4 1.6
- Двигател:
- Местоположение: Sliven
Re: Въпрос за окачване от GTI на 1.6 голф 4
Благодаря колега ще ги погледна и като го сложа ще кача снмки
-
kas10
- Мнения: 134
- Регистриран на: Чет 11 юли 2013 21:02
- Автомобил: GOLF 4 1.6
- Двигател:
- Местоположение: Sliven
Re: Въпрос за окачване от GTI на 1.6 голф 4
Тези пружина са с 1 виолетова и 2 бели точки но може и да са жълти но човека от който ги взимам каза че свалят 1,5 см до 2см ето и снимката
-
marin_andonov
- Мнения: 312
- Регистриран на: Пон 09 мар 2009 18:48
- Автомобил: VW
- Двигател: TAIGO
- Местоположение: sofia
Re: Въпрос за окачване от GTI на 1.6 голф 4
Колега,
Тези ще ти вдигнат предницата.
Човека ти е казал, че свалят но това зависи от тежестта на предницата, отделно, че не са спортни.
Търси такива да са в диапазон 630-670кг.
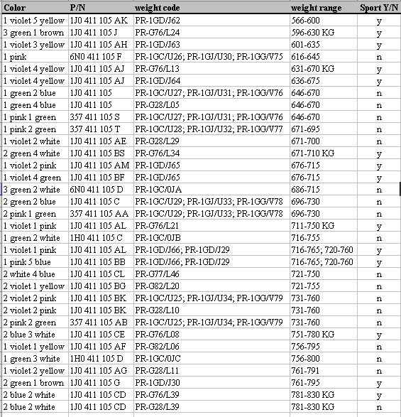
Ето ти таблица със точки, тежести и инфо, кои са спортни и кои не.
Ако държиш да са фабрични се ориентирай по нея, от опит съм ти дал най-добрия вариант (сменил съм 3 чифта) за 1,6 SR
Тези ще ти вдигнат предницата.
Човека ти е казал, че свалят но това зависи от тежестта на предницата, отделно, че не са спортни.
Търси такива да са в диапазон 630-670кг.
Ето ти таблица със точки, тежести и инфо, кои са спортни и кои не.
Ако държиш да са фабрични се ориентирай по нея, от опит съм ти дал най-добрия вариант (сменил съм 3 чифта) за 1,6 SR
-
kas10
- Мнения: 134
- Регистриран на: Чет 11 юли 2013 21:02
- Автомобил: GOLF 4 1.6
- Двигател:
- Местоположение: Sliven
Re: Въпрос за окачване от GTI на 1.6 голф 4
а тези как ще са. Тези поне са спортни и може малко да я свалят. за т3зи каза че свалят 3 см
-
marin_andonov
- Мнения: 312
- Регистриран на: Пон 09 мар 2009 18:48
- Автомобил: VW
- Двигател: TAIGO
- Местоположение: sofia
Re: Въпрос за окачване от GTI на 1.6 голф 4
Аз за тези не мога да кажа нищо, давам коментари сама за това което ми е минало през главата и съм на 100% сигурен.
За тези пружини да се изкажат по-компетентните.
За тези пружини да се изкажат по-компетентните.
- VW`VENTO
- Мнения: 584
- Регистриран на: Пет 01 фев 2008 21:34
- Автомобил: VW BORA 1.9TDI
- Двигател: AHF
- Местоположение: Ловеч
Re: Въпрос за окачване от GTI на 1.6 голф 4
Някой слагал ли е на 1,9TDI пружини от 1,6 примерно?Целта ми е снижаване,но не и твърда возия.Колко мм ще се снижи спрямо оригиналните пружини?
-
kas10
- Мнения: 134
- Регистриран на: Чет 11 юли 2013 21:02
- Автомобил: GOLF 4 1.6
- Двигател:
- Местоположение: Sliven
Re: Въпрос за окачване от GTI на 1.6 голф 4
Мой приятел сложи на 1.6 пружини от тди и се вирна малко 0.5-1см макс
-
kas10
- Мнения: 134
- Регистриран на: Чет 11 юли 2013 21:02
- Автомобил: GOLF 4 1.6
- Двигател:
- Местоположение: Sliven
Re: Въпрос за окачване от GTI на 1.6 голф 4
никой ли няма информация по темата колеги ? спешно трябва да знам че човека ще ги продаде пък са на оферта. амортисьори от гти с пружини( стокови от гти или червени спортни) 140лв
Върни се в “Golf, Vento, Jetta & Bora”
Кой е на линия
Потребители, разглеждащи този форум: Няма регистрирани потребители и 61 госта