как да повдигна голф 2

Техническа и сервизна информация за Golf, Vento, Jetta и Bora
Потребителски аватар
moimoimoi
Мнения: 2418
Регистриран на: Сря 21 мар 2007 21:05
Автомобил:
Двигател:
Местоположение: В голф2 VR6 турбо

Re: как да повдигна голф 2

Мнениеот moimoimoi » Сря 29 юли 2009 19:20


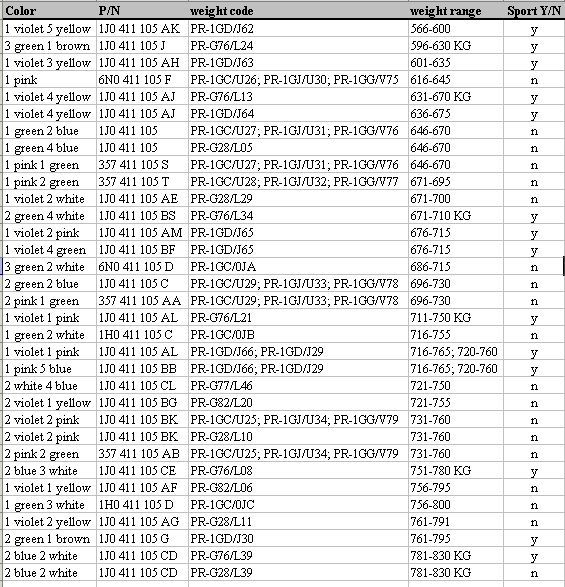
е то като са с еднаква дебелина не значи че са еднакво твърди,имат едни цветни точки по тях и разбираш колко килограма издържат

за отзад на голф2 съм слагал задни пружини от ЗАЗ-ка пасват идеално и вдигат перфектно,ама и от пасат трябва да стане,само незнам дали ще паснат чашките при пасатовите пружини
Прикачени файлове
429733735.jpg





Върни се в “Golf, Vento, Jetta & Bora”

Кой е на линия

Потребители, разглеждащи този форум: Няма регистрирани потребители и 82 госта