няма такива амортесьори.
3ката си вози комфортно с всякакви, ноооооо пътищата ни не струват и съответно е като в каруца.
Голф 3 - кои амортисьори возят най-меко?
- vampira_892
- Мнения: 37
- Регистриран на: Вто 23 ное 2010 17:46
- Автомобил: GOLF 3
- Двигател: ABD
- Местоположение: Plovdiv
Re: Кои амортисьори возят най-меко за голф 3-ка?
Темичката е стара но все пак някой ще каже ли различните цветови означения по пружините какво означават
пример:
зелено червено ... = на какво ?
...., ....., ...., = на какво ?
Мисля че доста хора ги интересува това затова моля по запознатите да кажат.Благодаря предварително на отзовалите се
пример:
зелено червено ... = на какво ?
...., ....., ...., = на какво ?
Мисля че доста хора ги интересува това затова моля по запознатите да кажат.Благодаря предварително на отзовалите се

-
zdravko_jett
- Мнения: 1877
- Регистриран на: Съб 20 юни 2009 18:55
- Автомобил:
- Двигател:
Re:
XIKS написа:маслен МОНРО
аз съм с маслено монро и возят мн мекичко
-
apolon
- Мнения: 892
- Регистриран на: Пет 15 окт 2010 6:14
- Автомобил: BORA 1.6 16V
- Двигател: AUS 2000
- Местоположение: Razgrad
Re: Голф 3 - кои амортисьори возят най-меко?
Темичката е стара но все пак някой ще каже ли различните цветови означения по пружините какво означават
пример:
зелено червено ... = на какво ?
...., ....., ...., = на какво ?
Мисля че доста хора ги интересува това затова моля по запознатите да кажат.Благодаря предварително на отзовалите се
За мен това е особенно важно.Боричката ми се оказа поръчково изпълнение-силов агрегат-сторт;окачване-комфорт.В завой с висока скорост така си се накланя,та аха да се преобърне в канавката,т.е. да се претъркули.Смахнати немци!
пример:
зелено червено ... = на какво ?
...., ....., ...., = на какво ?
Мисля че доста хора ги интересува това затова моля по запознатите да кажат.Благодаря предварително на отзовалите се
За мен това е особенно важно.Боричката ми се оказа поръчково изпълнение-силов агрегат-сторт;окачване-комфорт.В завой с висока скорост така си се накланя,та аха да се преобърне в канавката,т.е. да се претъркули.Смахнати немци!
- tisho_psg
- Мнения: 1334
- Регистриран на: Нед 29 мар 2009 19:01
- Автомобил:
- Двигател:
- Местоположение: BG
Re: Голф 3 - кои амортисьори возят най-меко?
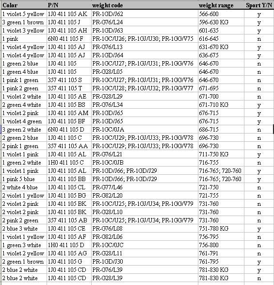
И аз съм търсил такава информация,но според мен няма колеги във форума които да са достатъчно запознати.От други теми съм си свалял тези таблици с цвета на точките по пружините.Виж ако ти помогнат нещо.
Щом търсиш повече стабилност си намери други пружини-от мощна кола-стоковите най-грубо казано или някакви спортни,но ще се изпари комфорта със спортните.
Щом търсиш повече стабилност си намери други пружини-от мощна кола-стоковите най-грубо казано или някакви спортни,но ще се изпари комфорта със спортните.
- vampira_892
- Мнения: 37
- Регистриран на: Вто 23 ное 2010 17:46
- Автомобил: GOLF 3
- Двигател: ABD
- Местоположение: Plovdiv
Re: Голф 3 - кои амортисьори возят най-меко?
tisho_psg написа:И аз съм търсил такава информация,но според мен няма колеги във форума които да са достатъчно запознати.От други теми съм си свалял тези таблици с цвета на точките по пружините.Виж ако ти помогнат нещо.
Щом търсиш повече стабилност си намери други пружини-от мощна кола-стоковите най-грубо казано или някакви спортни,но ще се изпари комфорта със спортните.
Благодаря ти колега това исках да видя благодаря

Върни се в “Golf, Vento, Jetta & Bora”
Кой е на линия
Потребители, разглеждащи този форум: Няма регистрирани потребители и 48 госта