Синя и жълта точка на пружините, вас ис дас?
- Barboukov
- Мнения: 6091
- Регистриран на: Вто 21 апр 2009 21:35
- Автомобил:
- Двигател:
- Местоположение: Русе
- Контакти:
Синя и жълта точка на пружините, вас ис дас?
Какво означават тия точки на пружините на предните амортисьори?
-
Ka6iKa
- Мнения: 199
- Регистриран на: Пет 07 сеп 2007 20:55
- Автомобил:
- Двигател:
- Местоположение: София
- Контакти:
Re: Синя и жълта точка на пружините, вас ис дас?
Това е маркировката за твърдост
- xalerrelax
- Мнения: 3060
- Регистриран на: Чет 25 сеп 2008 10:54
- Автомобил:
- Двигател:
- Местоположение: Бургас
Re: Синя и жълта точка на пружините, вас ис дас?
Ето темата колега.В момента не ми отваря снимките,надявам при тебе да няма проблем- viewtopic.php?t=6083
Нали за 4-ката питаш?
Нали за 4-ката питаш?
- Barboukov
- Мнения: 6091
- Регистриран на: Вто 21 апр 2009 21:35
- Автомобил:
- Двигател:
- Местоположение: Русе
- Контакти:
Re: Синя и жълта точка на пружините, вас ис дас?
Да, за 4-ката. И на мен не ми зарежда снимките.
- xalerrelax
- Мнения: 3060
- Регистриран на: Чет 25 сеп 2008 10:54
- Автомобил:
- Двигател:
- Местоположение: Бургас
Re: Синя и жълта точка на пружините, вас ис дас?
Ами колега с търсачката преди време бях намерил пак цветния код в една друга тема,просто сега немога да я открия,понеже снимката беше качена в мненията-а те са много.Ще се опитам да я открия.
- FivePointeO
- Мнения: 514
- Регистриран на: Чет 18 сеп 2008 20:33
- Автомобил: Голф 3
- Двигател: АЕЕ
- Местоположение: София
Re: Синя и жълта точка на пружините, вас ис дас?
xalerrelax написа:Ето темата колега.В момента не ми отваря снимките,надявам при тебе да няма проблем- viewtopic.php?t=6083
Нали за 4-ката питаш?
На мен също не ги отваря снимките а ми е много интересно какво значат точките аз на едната отпреде имам 3 или 4 зелени отзад мисля че бяха жълти точки, ако някой успее да изкопа някоя схема кое какво е

- xalerrelax
- Мнения: 3060
- Регистриран на: Чет 25 сеп 2008 10:54
- Автомобил:
- Двигател:
- Местоположение: Бургас
Re: Синя и жълта точка на пружините, вас ис дас?
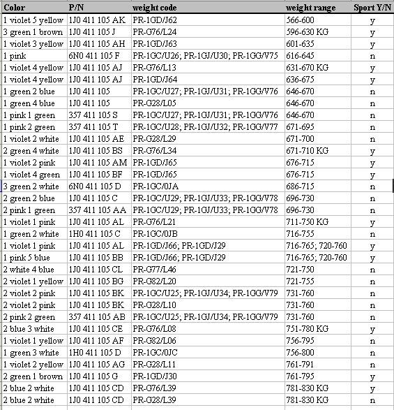
Тази схема май е за голф2.
Според един колега в този сайт ги има- vagcat.com
Според един колега в този сайт ги има- vagcat.com
- yoan4o
- магистрален бандит
- Мнения: 4767
- Регистриран на: Чет 21 авг 2008 16:21
- Автомобил: 2018 Arteon R 335 + 2017 e-Up
- Двигател: Много газ и всичко ток
- Местоположение: София
Re: Синя и жълта точка на пружините, вас ис дас?
Възможно е!
Просто нея имам запазена.
Ако някой може да ги извади всичките и да ги систематизираме ще е доста полезно.
Просто нея имам запазена.
Ако някой може да ги извади всичките и да ги систематизираме ще е доста полезно.
- overapac
- Мнения: 712
- Регистриран на: Сря 03 дек 2008 23:56
- Автомобил:
- Двигател:
- Местоположение: България
Re: Синя и жълта точка на пружините, вас ис дас?
в етка ги има ,кажете за кой модел ви интересува?


Върни се в “Golf, Vento, Jetta & Bora”
Кой е на линия
Потребители, разглеждащи този форум: Няма регистрирани потребители и 61 госта
