Разлика в предни пружини Г4 ТДИ

Техническа и сервизна информация за Golf, Vento, Jetta и Bora
Потребителски аватар
vas_gt
Мнения: 108
Регистриран на: Чет 20 сеп 2007 22:18
Автомобил:
Двигател:
Местоположение: София Golf ІV 1.6 101 hp AKL

Разлика в предни пружини Г4 ТДИ

Мнениеот vas_gt » Нед 01 авг 2010 21:10


Здравейте колеги!
Имате ли представа каква е разликата между тези три вида пружини от Г4 ТДИ, виждам че са маркирани с различни цветове? Благодаря.




Потребителски аватар
vas_gt
Мнения: 108
Регистриран на: Чет 20 сеп 2007 22:18
Автомобил:
Двигател:
Местоположение: София Golf ІV 1.6 101 hp AKL

Re: Разлика в предни пружини Г4 ТДИ

Мнениеот vas_gt » Чет 14 окт 2010 19:44


Колеги къде да попитам за цветните точки по пружините?


Потребителски аватар
gti3
Мнения: 47
Регистриран на: Пон 07 юли 2008 16:26
Автомобил:
Двигател:
Местоположение: Варна

Re: Разлика в предни пружини Г4 ТДИ

Мнениеот gti3 » Чет 14 окт 2010 21:35


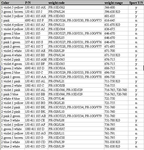
VW-All-Spring-Rates.jpg
SPRINGS%20VW.jpg
Виж това


Потребителски аватар
vas_gt
Мнения: 108
Регистриран на: Чет 20 сеп 2007 22:18
Автомобил:
Двигател:
Местоположение: София Golf ІV 1.6 101 hp AKL

Re: Разлика в предни пружини Г4 ТДИ

Мнениеот vas_gt » Пет 15 окт 2010 10:09


Колеги коя пружина е по усилена от тези двете според боядисаните точки:
Прикачени файлове
01082010121.jpg
01082010120.jpg



Върни се в “Golf, Vento, Jetta & Bora”

Кой е на линия

Потребители, разглеждащи този форум: Няма регистрирани потребители и 61 госта