След смяна на мъркуча се оправи.
П.П незнам дали защото купето е добре обезшумено ,но вътре не се чуваше силно свистене каквото очаквак. На моя голф 3 1Z когато има цепка около 2 см. свистеше бая и се чуваше ясно.
°niksi° написа:И искаш да кажеш че при цепка 3-4 см. колата е вървяла без проблем със 150 км/ч и че не е хванала грешка и само на около 3000 оборота леко претръпвала и не е и пушела с тази цепка.. Аз това не мога да го повярвам.
milmar написа:Преди малко включвах лаптопа, няма никаква записана грешка.
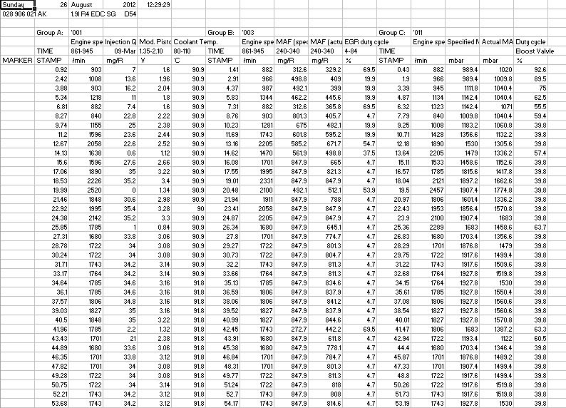
Направих дори Лог, на малко натоварване дава повече дебит от заданието (явно защото вее през дупката) и турбото достига заданието за налягане. При високо натоварване налягане и дебит са под заданието, налягането на турбото стига максимум 1500 mBar
.
samo ra4na na zavoite написа:... има голяма вероятност да се износи силно турбината.

Върни се в “Дизелови агрегати”
Потребители, разглеждащи този форум: Няма регистрирани потребители и 68 госта